近日,林学院张晓丽教授团队在中国科学院一区Top期刊《Pest Management Science》发表了题为“Chlorophyll fluorescence response mechanism to pine wilt disease infection and the potential of combining green light and SWIR bands for early diagnosis”的研究论文。该研究探讨了松材线虫病不同感病阶段的叶绿素荧光响应机制,提出了将敏感波段与叶绿素荧光结合进行早期识别的新策略。
松材线虫病是由松材线虫引发的一种对森林极具破坏性的疾病。由于媒介昆虫的迁飞,感病松树在被发现和处置前极大可能已经感染了周边松树,因此早期识别是前哨预警的关键。然而,松材线虫病早期叶片无显著病变特征,仅依赖光谱特征难以识别。
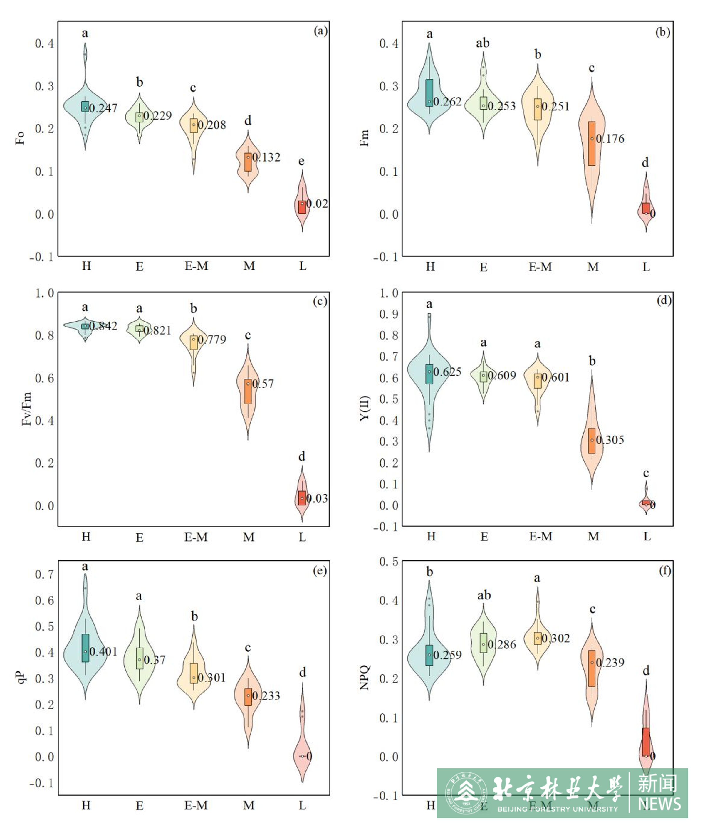
针对以上挑战,该研究基于叶片高光谱数据和生理生化参数,分析了松材线虫病在不同感染阶段的生理生化变化规律和光谱响应特征,探讨了叶绿素荧光参数对于早期病害诊断的敏感性(图1);明确了用于早期识别的关键叶绿素荧光参数和诊断光谱波段;提出了一种将敏感波段与叶绿素荧光结合的创新策略,有效突破传统单一模态数据在病害早期监测中的技术瓶颈,为基于机载、星载遥感平台的松材线虫病早期监测提供新思路。

图1不同感病阶段叶片叶绿素荧光参数的变化
北京林业大学林学院硕士研究生黄文媛为第一作者,张晓丽教授为通讯作者。该研究得到了国家自然科学基金“协同生物学特性和多模态卫星遥感数据的松材线虫病智能监测及风险预警”(32471859)的资助。