近期,草业与草原学院研究团队以“Effects of exogenous organic/inorganic nitrogen addition on carbon pool distribution and transformation in grassland soil”为题,在国际环境科学领域一区TOP期刊《Science of the Total Environment》(IF="10.753)发表研究论文,进一步揭示了外源有机/无机氮添加对草地土壤碳库分布和转化的影响机制。
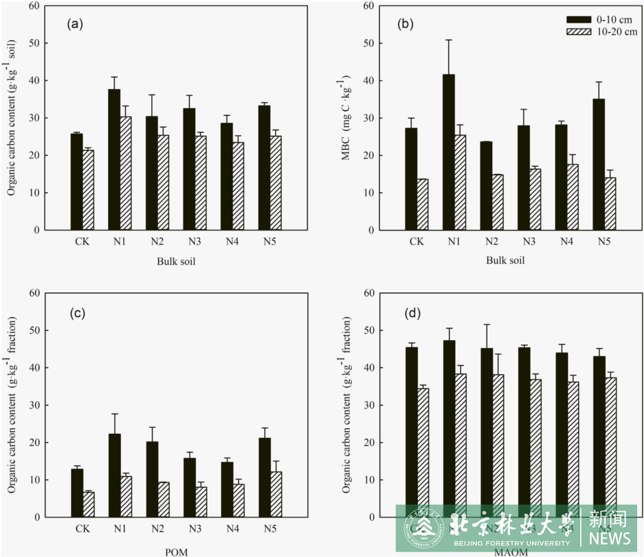
在陆地生态系统中,土壤储存了最大的有机碳库,氮沉降会影响植物多样性、植物生物量、土壤矿化速率和土壤微生物活性,从而影响碳的固存。不同的氮形态可能会使土壤有机碳对氮沉降的响应不同,因此在研究氮沉降对有机碳的影响时,不应该忽略氮的添加形式。土壤有机质可分为颗粒态有机质(POM,主要来源于植物)和矿物结合态有机质(MAOM,来源于微生物残留物),前者中的有机碳周转率较高,易受环境变化的影响,后者中的有机碳周转缓慢,更为稳定。过去,大多数关于氮添加对草地土壤有机碳影响的研究都集中在单一类型的氮添加下,而关于有机氮和无机氮混合添加对草地土壤有机碳库分布和稳定性的影响仍不清楚。
研究团队对内蒙古草甸草原进行为期5年的田间氮添加试验,施用不同比例无机氮(IN)和有机氮(ON),测定了土壤、POM、MAOM中有机碳的含量,同时进行了短期的土壤培养试验,评估潜在有机碳矿化,进而探讨不同类型氮添加对土壤有机碳库分布和转化的影响。研究显示,不同添加比例的IN/ON对土壤有机碳含量没有显著影响,但氮素添加降低了微生物生物量碳氮比、MAOM的比例、累积CO2排放量和微生物代谢熵。与单独添加ON相比,单独添加IN对不同土壤组分碳含量和土壤有机碳矿化的影响更大,POM比MAOM对氮添加更敏感。该研究结果表明,在评价氮添加类型对草地土壤有机碳的影响时,应考虑有机态和无机态氮对不同周转速率下有机碳库分布的影响。

图1.不同比例有机/无机氮添加处理对土壤、MBC、POM、MAOM中有机碳含量的影响

图2.不同比例有机/无机氮添加处理对有机碳组分的影响
我校草业与草原学院2019级硕士研究生汪梦寒为论文第一作者,李富翠副教授为通讯作者,韩烈保教授参与指导工作。本研究得到中央高校基本科研专项资金(BLX201940)的资助。