氮沉降的持续增加会通过改变土壤C:N:P比例来影响草地生态系统。然而,关于氮沉降对土壤C:N:P的影响仍存在争议。此外,前期大多数研究侧重于氮沉降对天然草地的影响,而对氮沉降对放牧草地土壤C:N:P的影响研究相对较少。因此,有必要研究放牧和未放牧草地上氮沉降对土壤C:N:P的影响,并厘清这种差异。
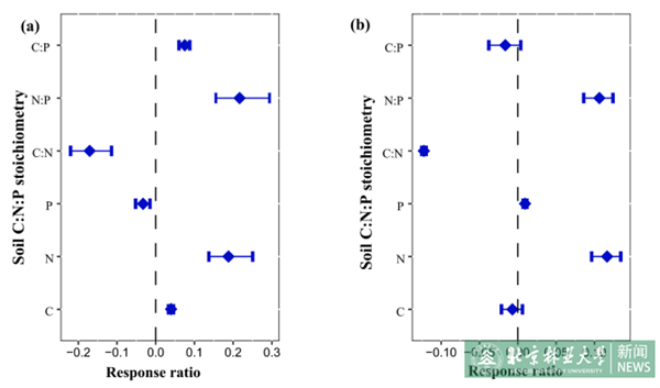
近日,我校草业与草原学院董世魁研究团队在青藏高原的高寒草甸和高寒草原两种草地类型的未放牧和放牧草地上进行了模拟氮沉降实验,同时设置对照和+N(8kgNha-1yr-1)处理。研究结果对氮沉降的影响效应进行了量化,发现氮沉降对未放牧和放牧草地的土壤C:N:P的影响存在差异。未放牧草地的土壤C:N:P受到氮沉降的影响较为显著,而放牧草地仅有土壤氮、磷含量以及土壤碳氮比和氮磷比受到氮沉降的显著影响(图1)。在放牧草地,氮沉降的影响效应从未放牧草地的30%显著降低到12%(图2),这表明放牧可能会在一定程度上削弱氮沉降对土壤C:N:P的影响。此外,其他气候和环境因素如温度、降水和草地类型也可以在一定程度上调节氮沉降对草地土壤C:N:P的影响。

图1:氮沉降对未放牧(a)和放牧(b)草地土壤C:N:P的影响

图2:未放牧草地(a)和放牧草地(b)土壤化学计量学的氮沉降效应贡献度分析(VPA)
上述研究结果以“Livestock grazing may weaken N deposition effects on soil C:N:P stoichiometry in alpine grassland of the Qinghai-Tibetan Plateau ”为题发表在中科院一区TOP期刊CATENA上。北京林业大学为第一通讯单位,北京林业大学草业与草原学院青年教师沈豪为论文第一作者,北京林业大学草业与草原学院董世魁教授为通讯作者。上述研究得到了2021北京林业大学新进青年教师启动基金(BLX202166)和第二次青藏科考项目(2019QZKK0307)的支持。
原文链接:https://doi.org/10.1016/j.catena.2023.107502
Shen, H., Dong, S., Li, S., Zheng, H., Wang, Q., Liu, J., ... & Yang, X. (2023). Livestock grazing may weaken N deposition effects on soil C: N: P stoichiometry in alpine grassland of the Qinghai-Tibetan Plateau. CATENA, 233, 107502.