近日,我校林学院青年研究员张乃莉研究团队完成的“Plant-soil feedback is dependent on tree mycorrhizal types and tree species richness in a subtropical forest”论文在农林科学领域Top期刊《Geoderma》(一区TOP,五年影响因子为7.0)发表,发现了树种多样性与土壤真菌群落的互作关系是调控植物-土壤反馈(PSF)的重要方面。

PSF是促进植物物种共存和多样性维持的重要机制。然而,树种多样性丧失引起的PSF变化如何影响丛枝菌根(AM)和外生菌根(EcM)树种的生长情况尚不清楚。基于这一背景,张乃莉研究团队依托于我国亚热带森林生物多样性-生态系统功能实验平台(BEF-China),通过开展盆栽控制实验,针对不同植物多样性情境、不同菌根类型树种的PSF响应机制开展研究。

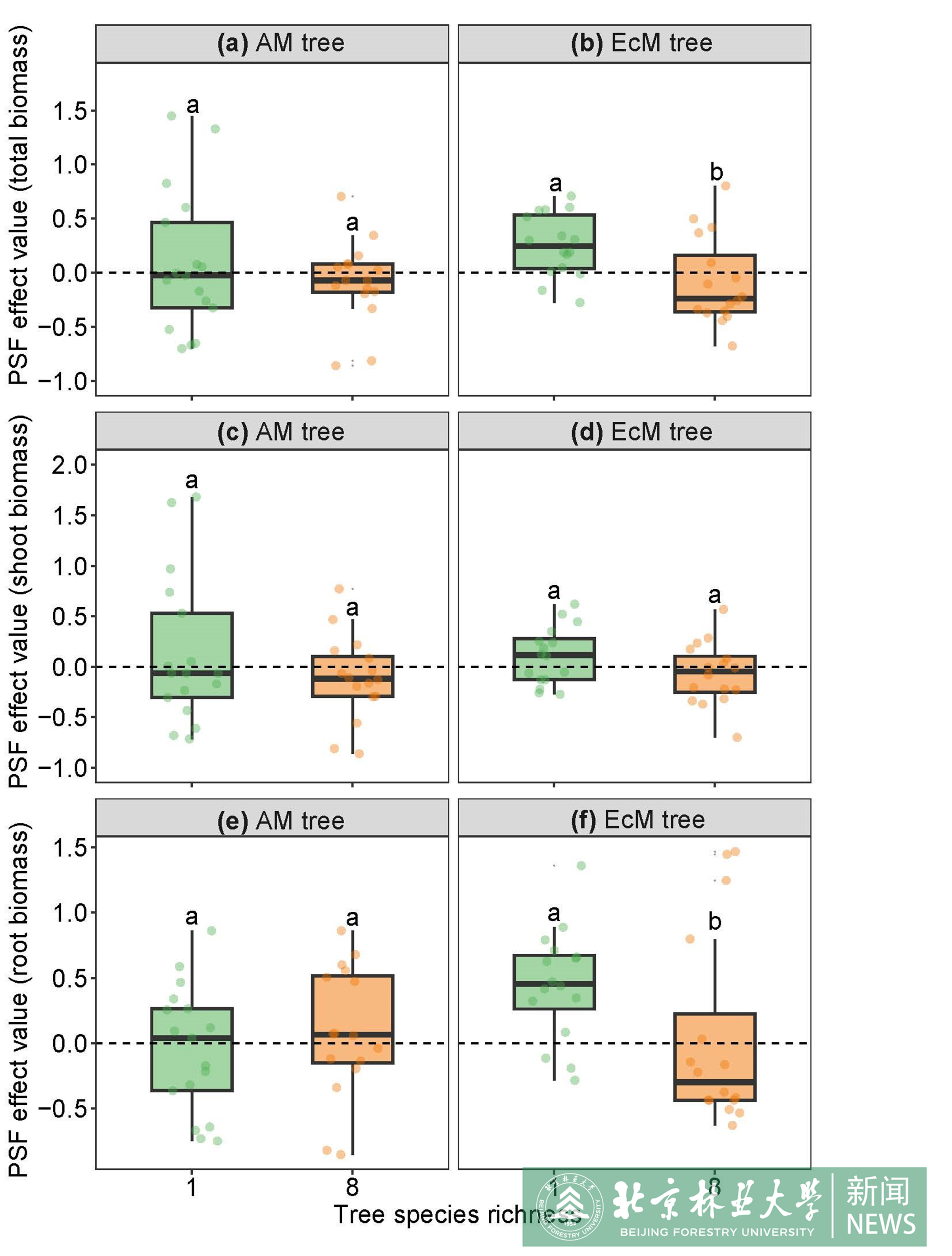
结果表明,随着树种多样性的增加,AM树种的PSF保持不变;而EcM树种的PSF从正变为负,这与幼苗形态和生理性状以及土壤功能真菌群落对树种多样性的响应有关,特别是土壤病原真菌α多样性和真菌共现网络的复杂性。这说明植物性状和土壤微生物群落的密切联系共同调节了幼苗的生长。在多样性较高的植物群落中,EcM树种的负PSF强度可能会限制其幼苗的更新,导致幼苗和大树数量的减少,甚至会对亚热带森林生态系统生产力造成负面影响。

此外,基于相关性和多元回归模型指出植物性状、土壤理化性质和微生物群落分别解释了地上部分、根和总生物量变化的75.8%、73.2%和76.3%。总而言之,该研究的结果证明了PSF在调节AM和EcM幼苗生长中的关键作用,以及它与树种丰富度的相互作用;并且发现土壤病原真菌多样性和真菌共现网络复杂性在不同树种多样性水平下调节EcM树种PSF的重要性,该项研究有助于我们更好地理解树种多样性对亚热带森林生态系统生产力的影响。

北京林业大学林学院博士研究生潘玉梅和浙江农林大学王艳红副教授为论文共同第一作者,北京林业大学林学院的张乃莉副教授为论文通讯作者。该研究得到国家自然科学基金面上项目(NO. 32071644和32161123003)、国家重点研发计划重点专项项目(NO. 2023YFF1304003-02)和中国科学院先导重点研究项目(NO. XDB31000000)的资助。